廣州市花都區教育局2020年第二次公開招聘中小學教師通告
為進一步優化教育資源配置、加強教育系統人才隊伍建設,優化人才隊伍結構,推進我區教育事業全面、均衡、優質、科學發展。根據《廣東省事業單位公開招聘人員辦法》(廣東省人民政府令第139號)等有關文件精神,按照公開、平等、競爭、擇優的原則,面向全國公開招聘花都區公辦中小學教師。現將有關事項通告如下。
一、招聘職位及人數
本次公開招聘中小學教師72人(入一類事業單位編制)。具體職位見《廣州市花都區教育局2020年第二次公開招聘中小學教師職位表》(附件1)。
二、報考條件
(一)基本條件
報考者須具備《廣東省事業單位公開招聘人員辦法》(粵府令第139號)要求的基本條件、符合《廣州市事業單位人事制度改革問答(一)》(穗人社發〔2010〕128號)第二十條規定及以下條件:
1.具有中華人民共和國國籍,享有公民的政治權利;
2.熱愛教育事業,遵紀守法,品行端正,具有良好的職業道德;
3.具有招聘職位所需的專業技術條件和任職資格、職業(執業)資格及技能要求;
4.身體健康,能勝任應聘崗位的工作需要;
5.非廣州市常住戶籍人員應符合廣州市戶口遷入條件;
6.具備招聘職位所需要的其他條件;
7.下列情況不接受報名 :
(1)因犯罪受過刑事處罰的人員和被開除公職的人員,尚未解除紀律處分或者正在接受紀律審查、監察調查的人員,或者涉嫌違法犯罪正在接受調查的人員;
(2)因違反國家計劃生育政策被有關部門作出處理決定,從該處理決定作出之日起未滿5年的人員;
(3)近3年內,在廣東省機關、事業單位招錄(聘)考試、體檢或考察中存在違紀、造假等行為的;
(4)報考人員不得報考聘用后即構成回避關系的崗位;
(5)法律、法規和規章規定不宜聘用的其他情形。
(二)具體資格條件
1.各職位具體要求詳見附件1和附件2。
說明:“2020年畢業生”指于2020年1月1日至2020年8月1日期間取得畢業證書的畢業生(含持境外學歷學位證書人員)。“非2020年畢業的往屆生”指于2019年12月31日前取得畢業證書的非在讀人員(含持境外學歷學位證書人員)。“不限”是指以上兩類人員均可。
2.報考人員須具有本科以上學歷,同時具有學士以上學位。
3.年齡要求如下:具有本科學歷且有學士學位的,年齡在35周歲以下;具有研究生學歷或與報考職位相對應的中級專業技術資格的,年齡在40周歲以下;具有博士學位或與報考職位相對應的副高級專業技術資格的,年齡在45周歲以下。
4.具有與報考職位相對應的教師資格證。
5.報考人員所學專業必須與報考的職位相對應。如報考人員所學專業未列入廣東省考試錄用公務員專業目錄(2019年版)(見附件3),但所學專業主要課程與報考職位所要求專業的主要課程基本一致的,則須在資格審核時經組織招聘部門認定為相近專業的方可視為專業符合報考要求。
學科教學、教育學、課程與教學論專業的考生,其專業研究方向如與報考的職位條件一致的,視為符合要求。
6.普通話水平測試須達到二級乙等以上,其中報考語文教師職位的普通話水平測試須達到二級甲等以上。
暫未取得教師資格證、普通話水平等級證書、專業英語等級證書的2020年畢業生以及2018、2019屆尚未落實工作單位的畢業生,須承諾在2021年7月31日前取得相應資格證書,否則用人單位將終止聘用。
(三)有關說明
1.港澳學習、國外留學歸來人員報考,在辦理聘用手續時須提供教育部中國留學服務中心出具的境外學歷、學位認證書。不能提供的,不予聘用。
2.報考者已具有的專業技術資格等級高于報考職位等級的,如被聘用,均按報考職位進行崗位等級聘用。報考人員一經報名,視為接受上述條件。
三、招聘程序
本次公開招聘按照發布通告、網上報名、確認、筆試、綜合素質評估、資格審核、教學技能測試、填報志愿、體檢、考察、公示、聘用的程序進行。
(一)發布通告
在廣州市花都區政府網站(區教育局)和“廣州花都教育”微信公眾號發布公開招聘的通告。
(二)網上報名
1.報名方式
網上填報資料:報名者于2020年7月30日至8月3日,按網上提示方法填寫個人資料進行報名。逾期不接受報名。
報考職位包含多個學校崗位的,具體工作崗位在填報志愿階段根據該職位考生綜合成績的高低順序由考生選擇。
2.報名須知
(1)每個職位的計劃招聘人數與有效報名人數的比例須達到1:3以上方能開考。如達不到上述比例,將視情況經招聘工作領導小組研究后減少或者取消招聘職位數。
(2)每人限報一個職位。
(3)報考者須對報名材料的真實性和完整性負責。凡提供虛假材料的,一經查實,取消報考資格或聘用資格,并記錄在案。因未按要求正確填寫報名信息導致未通過網絡初審的,責任由報考者承擔。
(4)免費師范生若跨省就業需要交納違約金的,由畢業生自行承擔。
(三)確認
1.筆試確認
網上成功報名的考生需在2020年8月4日8:30至8月5日12:00登錄報名系統進行網上確認。
確認路徑:登錄報名系統--報考管理--查看打印報名表--確認參加筆試。
考生請慎重確認,一經確認如無正當理由不參加考試的,我區將有權拒絕該考生參加我區其他教師招聘考試。
2.打印準考證
完成報名確認的考生于2020年8月7日10:00后在報名網站上自行打印準考證。
(四)筆試
筆試時間:2020年8月9日下午15:30至17:30。
筆試地點:以準考證為準。
筆試內容為黨的十九大精神、習近平新時代中國特色社會主義思想、教育政策法規、新時代中小學教師職業行為準則、教育學、心理學方面的基本理論知識,課堂教學、班級(團隊)管理常規知識,中小學生心理健康教育相關知識,校園突發事件應急處理等。
筆試成績滿分為100分,合格成績為60分,按30%折算計入綜合成績。
(五)綜合素質評估
根據考生筆試成績高低排序,各職位按1:10的比例確定進入綜合素質評估的人員(若最后一名出現同分的,則同分人員一起進入綜合素質評估)。未達到上述比例的,按實際人數進入綜合素質評估。
綜合素質評估時間:2020年8月16日8:30至17:30。
地點:廣州市花都區秀全外國語學校(廣州市花都區新華街秀全大道 66號)。
參加綜合素質評估的人員名單于2020年8月14日12:00前在廣州市花都區政府網站(區教育局)公布。
綜合素質評估的成績僅作為進入下一環節的依據,不設合格線,不計入總成績。
綜合素質評估按照《廣州市教師招聘綜合素質評估工作指引(試行)》(穗教組人〔2019〕55號)的要求組織。
1.語文、數學、英語、物理、化學、生物、政治、歷史、信息技術、科學、心理等學科以小組討論的方式進行。主要考察考生的思維能力、表達能力和對教師職業道德的理解水平。
2.音樂學科以展示技能的方式進行,包含以下三個環節。
(1)聲樂:演唱一首自選聲樂曲片段;
(2)鋼琴:演奏一首自選鋼琴曲片段,現場提供鋼琴;
(3)個性特長(任選一項,樂器、配樂自備):器樂演奏片段(鋼琴除外)或舞蹈表演片段。
3.美術學科以展示其專業特長的方式進行。考生根據自身專業方向展示一項繪畫(國畫、水彩、水粉、素描均可)或書法專業技能。
4.體育學科以展示以下技能的方式進行。
(1)考生本人所學的專項技能;
(2)一般體育技能;
(3)中小學體育教學的基本技能。
體育、音樂、美術三個學科的考生可根據本人專項自行決定是否攜帶展示所需器材。
(六)資格審核
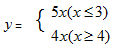
根據考生綜合素質評估的成績高低順序,每個職位按以下公式確定進入資格資格審核的人選、資格審核合格者進入教學技能測試。

其中y代表進入資格審核的人數,x代表該職位擬招聘的人數。
如果出現資格審核不合格的人員,則按綜合素質評估的成績高低順序依次遞補。資格審核合格人數未達到規定比例要求的,按實際合格人數進入教學技能測試。
時間:2020年8月17日14:30至17:30。
地點:廣州市花都區秀全外國語學校(廣州市花都區新華街秀全大道 66號)。
(七)教學技能測試
教學技能測試成績滿分為100分,合格成績為60分,按70%折算計入綜合成績。主要考察考生在專業素養、教學組織、語言表達、綜合分析等方面的能力。
時間:2020年8月19日8:00至18:00。
地點:廣州市花都區秀全外國語學校(廣州市花都區新華街秀全大道 66號)。
1、小學語文、數學、英語、信息技術、科學、心理等學科以及音樂、美術、體育采取試講的方式進行。不提供多媒體教學平臺。
2、中學語文、數學、英語、物理、化學、政治、歷史、生物等學科采取說課的方式進行。不提供多媒體教學平臺。
(八)填報志愿
根據考生綜合成績高低順序,按與招聘職位數1:1的比例確定進入填報志愿的人選。如出現綜合成績相同的情況,則教學技能測試成績高者排名靠前;若仍出現同分,則再次進行教學技能測試,高分者排名靠前。
志愿必須由考生本人親自填報,不接受委托填報。逾期不參加現場集中填報的,按自動棄權處理。
同一職位只有一個學校的,考生在報考時已經確定了職位,無需再填報志愿。
(九)體檢
資審合格人員在規定時間集中到指定醫院進行體檢。體檢工作安排另行通知。
體檢按《廣東省事業單位公開招聘人員體檢實施細則(試行)》(穗人社發[2010]172號)《廣東省教師資格申請人員體格檢查標準(2013年修訂)》的規定執行。無故不按時參加體檢人員或體檢不合格者,取消聘用資格。體檢醫院建議復查的,如在一個月內不能得出合格結論,視為體檢不合格。體檢合格者進入考察環節。
(十)考察
對體檢合格者按照《廣東省事業單位公開招聘人員考察工作實施細則(試行)》(穗人社發〔2010〕172號)進行組織考察。考察重點是政治思想、道德品質、遵紀守法、職位匹配等方面的情況。同時核實其是否符合規定的報考條件,提供的報名信息和相關材料是否真實、準確、有效,是否具有報考回避情形等方面的情況。考察方式以查閱個人檔案、核實報考條件和相關資料為主,根據需要也可到考察對象曾經學習、工作過的單位進行延伸考察。考察不合格者,取消聘用資格。
(十一)公示
考察合格人員名單報本次公開招聘工作領導小組審定后,在廣州市花都區政府網站(區教育局)公示7個工作日。
(十二)辦理聘用手續
公示期滿無異議的,辦理聘用手續。在編教師實行試用期制,2020年畢業生或工齡未滿一年的非2020年畢業生的試用期為一年;工齡滿一年的人員試用期為六個月。試用期滿考核合格的,繼續聘用,并需承諾最低服務期5年;考核不合格的,按有關規定解除聘用合同。
為便于管理,非廣州市戶籍考生須在錄用后將戶籍遷至廣州市。
在體檢、考察、公示、辦理聘用手續等環節出現空缺時,可根據實際情況由本次公開招聘工作領導小組決定是否遞補。
五、人員待遇和管理
在編人員錄用后實行聘用制,具體工作崗位由聘用學校統籌安排。對招聘崗位在鄉村學校的錄用人員中沒有教學經驗的畢業生則統一安排到區優質學校見習一年,見習期滿轉正之后再到招聘崗位所在的學校工作。人員聘用后按“區管校聘”的相關政策進行管理,須服從并接受廣州市花都區教育局的工作調配并參加區內學校交流輪崗。
六、其他事項
(一)本方案所涉及時間點的計算截至報名首日。凡冠有“以下”“以上”等字眼的,均含本數量或本級。
(二)本次招聘不指定考試教材,不舉辦、也不委托任何機構舉辦考試輔導培訓。
(三)本次招聘的資格審查貫穿于招聘全過程。發現有不符合崗位資格條件或弄虛作假的,取消其應聘或聘用資格;已辦理聘用手續的,予以解聘。
(四)報考者在招聘過程中有下列行為之一的,取消考試資格或者聘用資格:
1、偽造、涂改證件、證明,或者以其他不正當手段獲取應聘資格的;
2、在考試、體檢或考察等過程中作弊的。
(五)區教育局機關紀委對公開招聘工作全程監督。相關工作人員應自覺遵守工作紀律和回避制度,確保招聘工作公正、公平。如出現違紀違規情況,一經發現,將按照《事業單位公開招聘違紀違規行為處理規定》嚴肅處理。
(六)本方案由局公開招聘工作領導小組辦公室負責解釋。未盡事宜,由局公開招聘工作領導小組辦公室研究確定。
咨詢電話:020-36898754,監督電話:020-36892602。
附件:1.廣州市花都區教育局2020年第二次公開招聘中學教師職位表.xls
2.廣州市花都區教育局2020年第二次公開招聘小學教師職位表.xls
廣州市花都區教育局
2020年7月20日